800cc全讯白菜网主站
智慧城市工程学院
首页
学院概况
学院简介
学院荣誉
学院新闻
通知公告
师资队伍
专家教授
骨干教师
教学科研
专业设置
课程建设
科研工作
教学管理
微专业
党团建设
党团活动
实践教学
实践教学中心
校企合作
作品展示
实践教学安排
学生工作
学生风采
大赛掠影
社团活动
工作资讯
就业创业
招聘专栏
优秀毕业生风采
下载中心
下载中心
学校首页
实践教学
实践教学中心
校企合作
作品展示
实践教学安排
当前位置:
首页
/
实践教学安排
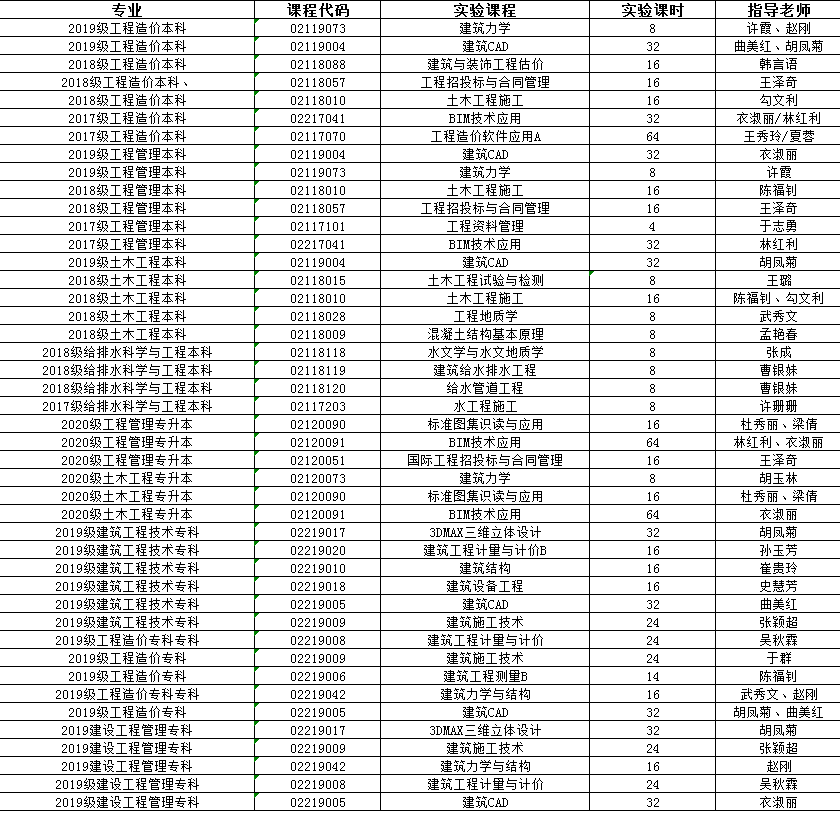
2020-2021-1学期课内实验安排
发布时间:2020-09-01
浏览量:5836